As the reaction progresses, what will happen to the overall voltage of the cell?
(A) The voltage will remain constant.
(B) The voltage will decrease as [Zn2+] increases.
(C) The voltage will increase as [Cu+] increases.
(D) The voltage will increase as [Zn2+] increases.
Correct Answer: (B) The voltage will decrease as [Zn2+] increases.
Question 2
Out of Fe3+, Sc3+, Cr3+, and Co3+ ions, the one which is colorless in aqueous solution is:
(A) Fe3+
(B) Sc3+
(C) Cr3+
(D) Co3+
Correct Answer: (B) Sc3+
Question 3
Hofmann Bromamide degradation reaction is given by:
(A) ArNO2
(B) ArNH2
(C) ArCONH2
(D) ArCH2NH2
Correct Answer: (B) ArNH2
Question 4
In the Haworth structure of the following carbohydrate, the various carbon
atoms have been numbered. The anomeric carbon is numbered as:
(A) 1
(B) 2
(C) 3
(D) 5
Correct Answer: (A) 1
Question 5
Value of Henry’s constant (KH) is:
(A) greater for gases with higher solubility
(B) greater for gases with lower solubility
(C) constant for all gases
(D) not related to the solubility of gases
Correct Answer: (B) greater for gases with lower solubility
Question 6
Out of the following statements, the incorrect statement is:
(A) La is actually an element of the transition series.
(B) Zr and Hf have almost identical atomic radii because of lanthanoid contraction.
(C) Ionic radius decreases from La³⁺ to Lu³⁺ ion.
(D) Lanthanoids are radioactive in nature.
Correct Answer: (D) Lanthanoids are radioactive in nature
Question 7
Out of 2-Bromobutane, 1-Bromobutane, 2-Bromopropane and
1-Bromopropane, the molecule which is chiral in nature is:
(A) 2-Bromobutane
(B) 1-Bromobutane
(C) 2-Bromopropane
(D) 1-Bromopropane
Correct Answer: (A) 2-Bromobutane
Question 8
In the given reaction sequence, the structure of Y would be:
(A)
(B)
(C)
(D)
Correct Answer:
Question 9
The product of the oxidation of I− with
MnO4− in alkaline medium is:
(A) IO4−
(B) I2
(C) IO−
(D) IO3−
Correct Answer: (D) IO3−
Question 10
Polyhalogen compounds have wide applications in industries and agriculture.
DDT is also a very important polyhalogen compound. It is a:
(A) greenhouse gas
(B) fertilizer
(C) biodegradable insecticide
(D) non-biodegradable insecticide
Correct Answer: (D) non-biodegradable insecticide
Question 11
What amount of electrical charge is required for the
reduction of 1 mole of MnO4− to Mn2+
(in acidic medium)?
(A) 1F
(B) 5F
(C) 4F
(D) 6F
Correct Answer: (B) 5F
Question 12
Alkenes are formed by heating alcohols with concentrated
H2SO4.
The first step in this reaction is:
(A) formation of carbocation
(B) formation of ester
(C) protonation of alcohol molecule
(D) elimination of water
Correct Answer: (C) protonation of alcohol molecule
Assertion–Reason type Questions
Question 13
Assertion (A):
Electrolysis of aqueous NaCl gives
H2 at the cathode and
Cl2 at the anode.
Reason (R):
Chloride ion has a lower oxidation potential than water and hence is
preferentially oxidised at the anode.
Correct Answer: Both Assertion (A) and Reason (R) are true and
Reason (R) is the correct explanation of the Assertion (A).
Question 14
Assertion (A): Cuprous salts are diamagnetic.
Reason (R): Cu⁺ ion has completely filled 3d¹⁰ orbitals.
Correct Answer: Both Assertion (A) and Reason (R) are true and Reason (R) is the correct explanation of the Assertion (A).
Question 15
Assertion (A): n-Butyl chloride has a higher boiling point than n-Butyl bromide.
Reason (R): C–Cl bond is more polar than C–Br bond.
Correct Answer: Assertion is false; Reason is true.
Question 16
Assertion (A): Acetanilide is less basic than aniline.
Reason (R): Acetylation of aniline decreases electron density on nitrogen.
Correct Answer: Both Assertion (A) and Reason (R) are true and Reason (R) is the correct explanation of the Assertion (A).
Very short answer type Questions
Question 17
(a) Reactant A undergoes a decomposition reaction.
The concentration of A was measured periodically and recorded in the table below.
Time/Hours
[A]/M
0
0.40
1
0.20
2
0.10
3
0.05
Based on the above data, predict the order of the reaction and write the expression for the rate law
(b) The reaction between H2(g) and
I2(g) was carried out in a sealed, isothermal container.
The rate law for the reaction is:
Rate = k[H2][I2]
If 1 mole of H2(g) is added to the reaction chamber
at constant temperature, predict the change in rate of the reaction and
rate constant changes or remains the same.
(a) By analyzing the table, [A] halves every hour → reaction is first order. Rate law expression: Rate = k[A]
(b) Adding 1 mole of H2 increases [H2], so the rate of reaction increases proportionally.
The rate constant k remains the same as the temperature is constant.
Question 18
PtCl4.2KCl does not give a precipitate of AgCl with AgNO3 solution. Write the structural formula and IUPAC name of the complex.
The structural formula of the complex is K2[PtCl6]. It does not give a precipitate with AgNO₃ because the chloride ions are coordinated to platinum and are not free. The IUPAC name of the complex K2[PtCl6] is Potassiumhexachloroplatinate(IV) .
Question 19
Define a fuel cell. Give two advantages of a fuel cell over an ordinary cell.
A fuel cell is an electrochemical device that converts the chemical energy of a fuel, usually hydrogen and an oxidant i.e., oxygen directly into electrical energy without combustion.
The main advantages of a fuel cell over an ordinary cell are:
It can produce electricity continuously as long as fuel is supplied
It has higher efficiency with minimal energy loss as heat.
Question 20
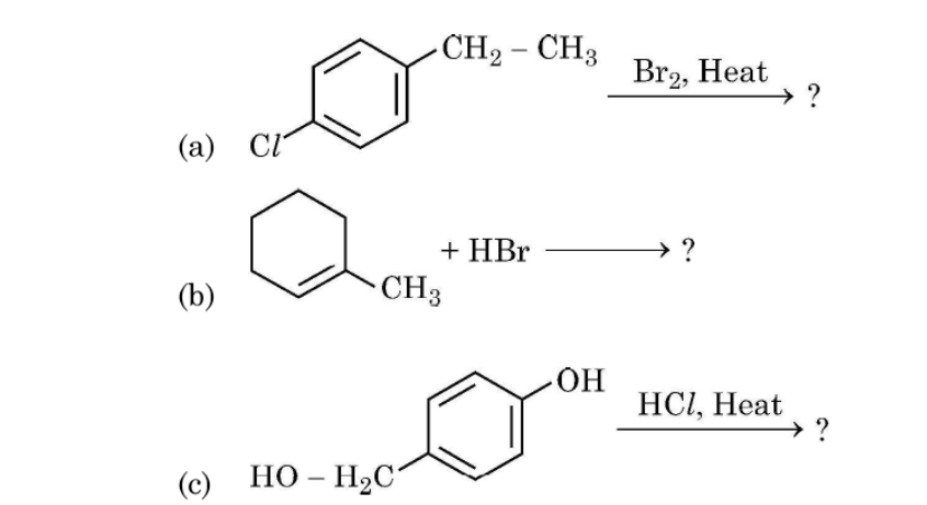
Write the structures of the main products of the following reactions:
The main products are the compounds formed after the reactions. [Write structural formulas here once the reaction image is available.]
Question 21
What is meant by essential amino acids? Why are amino acids amphoteric in nature?
Essential amino acids are those amino acids which cannot be synthesized by the human body and must be obtained from the diet.
Amino acids are amphoteric in nature because they contain both an acidic carboxyl (-COOH) group and a basic amino (-NH₂) group, allowing them to act as either acids or bases depending on the environment.
Very short answer type Questions
Question 22
22. (a) Account for the following :
(i) Allyl chloride is hydrolysed more readily than
n-propyl chloride.
(ii) Isocyanides are formed when alkyl halides are treated with
silver cyanide.
(iii) Methyl chloride reacts faster with OH− ion in SN2 reaction
than t-butyl chloride.
OR
(b) Complete the following reactions by writing the structural
formulae of ‘A’ and ‘B’ :
Answer
Question 23
Calculate the cell voltage of the voltaic cell which is set up by joining the
following half-cells at 25 °C :
Al | Al3+ (0.001 M) and Ni | Ni2+ (0.1 M)
Given :
E°Ni2+/Ni = −0.25 V
E°Al3+/Al = −1.66 V
Question 24
Give explanation for each of the following observations :
(a) With the same d-orbital configuration (d4), Mn3+ ion is an oxidising agent whereas Cr2+ ion is a reducing agent.
(b) Actinoid contraction is greater from element to element than that among lanthanoids.
(c) Transition metals form a large number of interstitial compounds with H, B, C and N.
(a) Mn3+ (d4) tends to gain one electron to form the more stable Mn2+ (d5, half-filled configuration). Hence, Mn3+ acts as an oxidising agent.
Cr2+ (d4) readily loses one electron to form the more stable Cr3+ (d3), therefore it behaves as a reducing agent.
(b) Actinoid contraction is greater than lanthanoid contraction because 5f-electrons in actinoids have poor shielding effect compared to 4f-electrons in lanthanoids, resulting in a greater increase in effective nuclear charge across the actinoid series.
(c) Transition metals have vacant interstitial sites in their crystal lattices. Small atoms like H, B, C and N can occupy these spaces, forming interstitial compounds which are hard, high-melting and retain metallic properties.
Question 25
An aqueous solution of NaOH was made and its molar mass from the
measurement of osmotic pressure at 27 °C was found to be
25 g mol−1. Calculate the percentage dissociation of NaOH
in this solution.
Molar mass of NaOH = 40 g mol−1
Observed molar mass = 25 g mol−1
Van’t Hoff factor,
i = Normal molar mass / Observed molar mass
i = 40 / 25 = 1.6
NaOH dissociates as:
NaOH → Na+ + OH−
(Total number of ions formed = 2)
(a) pKb is inversely proportional to basic strength.
Aromatic amines are weaker bases due to resonance. More the number of alkyl groups attached to 'N' atom of amine group, more will be basicity or less the pKb value.
Decreasing order of pKb:
C6H5NH2 >
C6H5NHCH3 >
C2H5NH2 >
(C2H5)2NH
(b) Boiling point depends on intermolecular hydrogen bonding.
Alcohols form stronger hydrogen bonds than amines.
Increasing order of boiling point:
(CH3)2NH <
C2H5NH2 <
C2H5OH
(c) Solubility in water decreases with increase in hydrophobic
alkyl/aryl group and increases with hydrogen bonding.
Increasing order of solubility in water:
C6H5NH2 <
(C2H5)2NH <
C2H5NH2
Question 27
An aromatic compound ‘A’ with molecular formula C8H8O gives positive
2,4-DNP test and forms a yellow precipitate of compound ‘B’ on treatment
with sodium hypoiodite. Compound ‘A’ does not react with Tollen’s or
Fehling’s reagent. On drastic oxidation with KMnO4, it forms a
carboxylic acid ‘C’. Elucidate the structures of A, B and C. Also give their
IUPAC names.
Positive 2,4-DNP test indicates that compound ‘A’ is a carbonyl compound.
Since it does not respond to Tollen’s or Fehling’s test, it is not an
aldehyde; hence it must be a ketone.
Formation of yellow precipitate with sodium hypoiodite indicates the
presence of a methyl ketone group (–COCH3).
An aromatic methyl ketone with molecular formula C8H8O is:
Compound A: C6H5COCH3 IUPAC name: 1-Phenylethanone (Acetophenone)
On treatment with sodium hypoiodite, acetophenone undergoes haloform
reaction to give yellow precipitate of:
Compound B: CHI3 IUPAC name: Triiodomethane (Iodoform)
On drastic oxidation with KMnO4, the side chain of acetophenone
is oxidised to carboxylic acid:
Compound C: C6H5COOH
IUPAC name: Benzenecarboxylic acid (Benzoic acid)
Question 28
(a) Can sodium ethoxide and t-butyl chloride be used for the
preparation of t-butyl ethyl ether? Give suitable explanation.
Justify your answer by suggesting the appropriate starting material
required for preparation of t-butyl ethyl ether.
(b) Give the IUPAC name of the above mentioned ether.
(a) Sodium ethoxide and t-butyl chloride cannot be used for the
preparation of t-butyl ethyl ether because t-butyl chloride is a
tertiary halide and undergoes elimination reaction rather than
nucleophilic substitution (SN2) with alkoxide ion.
In Williamson ether synthesis, the alkyl halide should be primary to
favour SN2 reaction. Hence, a suitable combination is:
Sodium t-butoxide + ethyl chloride
This combination allows SN2 substitution to occur smoothly,
leading to the formation of t-butyl ethyl ether.
(b) IUPAC name of t-butyl ethyl ether is:
2-ethoxy-2-methylpropane
Case-based Questions
Question 29
According to the generally accepted definition of the ideal solution there
are equal interaction forces acting between molecules belonging to the
same or different species. (This is equivalent to the statement that the
activity of the components equals the concentration.) Strictly speaking,
this condition is fulfilled only in exceptional cases for mixtures (optical
isomers, isotopic mixtures of an element, hydrocarbon mixtures). It is
still usual to talk about ideal solutions as limiting cases in reality since
very dilute solutions behave ideally with respect to the solvent. This view
is further supported by the fact that Raoult’s law empirically found for
describing the behaviour of the solvent in dilute solutions can be deduced
thermodynamically via the assumption of ideal behaviour of the solvent.
Answer the following questions:
(a) Give one example of miscible liquid pair which shows negative deviation
from Raoult’s law. What is the reason for such deviation?
(b) (i) State Raoult’s law for a solution containing volatile components.
OR
(ii) Raoult’s law is a special case of Henry’s law. Comment.
(c) Write two characteristics of an ideal solution.
(a) An example of a miscible liquid pair showing negative deviation
from Raoult’s law is:
Acetone + Chloroform
Reason: Strong intermolecular hydrogen bonding between acetone and
chloroform molecules results in lower vapour pressure than predicted by
Raoult’s law.
(b)(i) Raoult’s law states that for a solution containing volatile
components, the partial vapour pressure of each component is directly
proportional to its mole fraction in the solution.
Pi = XiPi0
OR
(b)(ii) Raoult’s law is a special case of Henry’s law because when
the Henry’s law constant becomes equal to the vapour pressure of the
pure component, Henry’s law reduces to Raoult’s law.
(c) Two characteristics of an ideal solution are:
(i) No heat is absorbed or evolved on mixing (ΔHmix = 0).
(ii) No change in volume on mixing (ΔVmix = 0).
Question 30
Ribose and 2-deoxyribose have an important role in biology. Answer the
following questions:
(a) What products would be formed when DNA is hydrolysed? How is DNA
different from RNA with reference to structure?
(b) Differentiate between nucleotide and nucleoside.
(c) (i) Mention two important functions of nucleic acid.
OR
(ii) Name the linkage which joins two nucleotides. Name the base that is
found in nucleotide of RNA but not in DNA.
(a) On hydrolysis, DNA gives:
• Deoxyribose sugar
• Nitrogenous bases (Adenine, Guanine, Cytosine, Thymine)
• Phosphoric acid
Structural difference:
DNA contains 2-deoxyribose sugar and is double-stranded, whereas RNA
contains ribose sugar and is single-stranded.
(b) Difference between nucleoside and nucleotide:
Nucleoside = Sugar + Nitrogenous base
Nucleotide = Sugar + Nitrogenous base + Phosphate group
(c)(i) Two important functions of nucleic acids are:
• Storage and transmission of genetic information
• Control of protein synthesis
OR
(c)(ii) Two nucleotides are joined by a
3′–5′ phosphodiester linkage.
The base present in RNA but absent in DNA is
Uracil.
Long answer type Questions
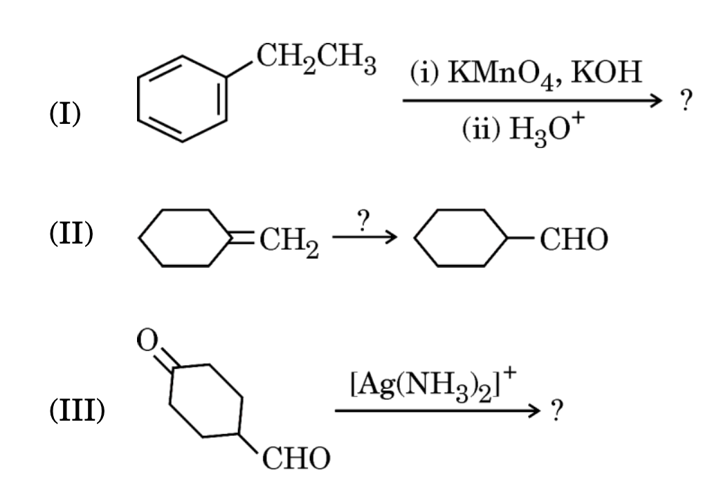
Question 31
(a) (i) Complete the following reactions by writing the structure of
the main products:
(ii) Give simple chemical test to distinguish between the following pairs
of compounds:
(I) Ethyl benzoate and benzoic acid
(II) Propanal and propanone
OR
(b) (i) Complete each synthesis by giving missing starting material,
reagent or products:
(ii) Carry out the following conversions:
(I) Benzaldehyde → Benzophenone
(II) Benzaldehyde → 3-phenylpropanol
Answers to be written based on the given reaction schemes and conversions.
Reaction diagrams, reagents and products should be shown clearly.
Question 32
(a) (i) Give reasons:
(I) [Ni(CO)4] is diamagnetic whereas [NiCl4]2− is
paramagnetic. [Atomic number: Ni = 28]
(II) CO is a stronger complexing agent than NH3.
(III) The trans isomer of complex [Co(en)2Cl2]+ is
optically inactive.
(ii) Using Crystal Field Theory, write the number of unpaired electrons
in octahedral complexes of Fe3+ in the presence of:
(I) Strong field ligand
(II) Weak field ligand
[Atomic number: Fe = 26]
OR
(b) (i) Name the type of isomerism exhibited by the following compounds.
Also draw their corresponding isomers:
(I) [Co(NH3)6][Cr(CN)6]
(II) [Co(en)3]3+
(III) [Co(NH3)3(NO2)3]
(ii) Differentiate between weak field and strong field ligands.
How does the strength of the ligand influence the spin of the complex?
(a)(i)
(I) In [Ni(CO)4], Ni is in 0 oxidation state and strong field
CO causes pairing of electrons, making it diamagnetic. In
[NiCl4]2−, Cl− is a weak field ligand, resulting
in unpaired electrons and paramagnetism.
(II) CO is a stronger ligand than NH3 because it can form
π-back bonding with the metal.
(III) The trans isomer of [Co(en)2Cl2]+ has a
plane of symmetry and hence is optically inactive.
(a)(ii)
Fe3+ = d5
Strong field ligand: 1 unpaired electron (low spin)
Weak field ligand: 5 unpaired electrons (high spin)
(b)(ii)
Strong field ligands cause pairing of electrons leading to low-spin
complexes, whereas weak field ligands do not cause pairing, resulting
in high-spin complexes.
Question 33
(a) (i) The initial concentration of N2O5 in the first-order reaction:
N2O5 (g) → 2NO2 (g) + O2 (g)
was 1.2 × 10–2 mol L–1. The concentration of N2O5 after 60 minutes was 0.2 × 10–2 mol L–1. Calculate the rate constant of the reaction at 318 K. [log 6 = 0.778]
(ii) Account for the following:
(I) Why we cannot determine the order of a reaction from the balanced chemical equation.
(II) How a bimolecular reaction may become kinetically first-order under a specified condition.
OR
(b) (i) The rate of a chemical reaction doubles for an increase of 10 K in absolute temperature from 298 K. Calculate activation energy (Ea). [2.303 R = 19.15 J K–1 mol–1, log 2 = 0.3]
(ii) For the reaction:
2H2O2 → 2H2O + O2
The proposed mechanism is:
(I) H2O2 + I– → H2O + IO– (slow)
(II) H2O2 + IO– → H2O + I– + O2 (fast)
(1) Write the rate law for the reaction.
(2) Write the overall order and molecularity of the reaction.
(a)(i) First-order rate constant, k = (1/t) ln([N2O5]0 / [N2O5])
[N2O5]0 = 1.2 × 10–2, [N2O5] = 0.2 × 10–2, t = 60 min = 3600 s
k = (1/3600) ln(1.2/0.2) ≈ 0.000385 s–1
(a)(ii) (I) Order of reaction cannot be determined from the balanced equation because the rate depends on the reaction mechanism, not just stoichiometry. (a)(ii) (II) In a bimolecular reaction, if the concentration of one reactant is in large excess, its concentration can be considered constant, making the reaction appear first-order with respect to the other reactant.
Which of the following is the correct order of acidic strength?
(A) C₆H₅OH > H₂O > ROH
(B) C₆H₅OH > ROH > H₂O
(C) ROH > C₆H₅OH > H₂O
(D) H₂O > C₆H₅OH > ROH
Correct Answer: (A) C₆H₅OH > H₂O > ROH
Question 9
The acid formed when propyl magnesium bromide reacts with CO₂ followed by hydrolysis is:
(A) C₃H₇COOH
(B) C₂H₅COOH
(C) CH₃COOH
(D) C₃H₇OH
Correct Answer: (A) C₃H₇COOH
Question 10
The best reagent for converting propanamide into propanamine is:
(A) Excess H₂
(B) Br₂ in aqueous NaOH
(C) I₂ in presence of red phosphorus
(D) LiAlH₄ in ether
Correct Answer: (B) Br₂ in aqueous NaOH
Question 11
Which of the following statements is NOT true about glucose?
(A) It is an aldohexose
(B) On heating with HI it forms n-hexane
(C) It exists in furanose form
(D) It does not give Schiff’s test
Correct Answer: (C) It exists in furanose form
Question 12
An unripe mango placed in a concentrated salt solution shrivels because:
(A) It gains water due to osmosis
(B) It loses water due to reverse osmosis
(C) It gains water due to reverse osmosis
(D) It loses water due to osmosis
Correct Answer: (D) It loses water due to osmosis
Assertion–Reason type Questions
Question 13
Assertion (A):
Electrolysis of aqueous NaCl gives H2 at the cathode and
Cl2 at the anode.
Reason (R):
Chloride ion has a lower oxidation potential than water and hence is
preferentially oxidised at the anode.
Correct Answer:
Both Assertion (A) and Reason (R) are true and
Reason (R) is the correct explanation of the Assertion (A).
Question 14
Assertion (A):
Transition metals show variable oxidation states.
Reason (R):
The energies of (n−1)d and ns orbitals are nearly the same.
Correct Answer:
Both Assertion (A) and Reason (R) are true and
Reason (R) is the correct explanation of the Assertion (A).
Question 15
Assertion (A):
Aniline is a weaker base than methylamine.
Reason (R):
The lone pair of electrons on nitrogen in aniline is involved in resonance
with the benzene ring.
Correct Answer:
Both Assertion (A) and Reason (R) are true and
Reason (R) is the correct explanation of the Assertion (A).
Question 16
Assertion (A):
Phenol is more acidic than ethanol.
Reason (R):
Phenoxide ion is stabilised by resonance, whereas ethoxide ion is not.
Correct Answer:
Both Assertion (A) and Reason (R) are true and
Reason (R) is the correct explanation of the Assertion (A).
Very short answer type Questions
Question 17
(A) Give reasons:
(a) Cooking is faster in a pressure cooker than in an open pan.
(b) On mixing liquid X and liquid Y, volume of the resulting solution decreases.
What type of deviation from Raoult’s law is shown? What change in temperature
would you observe after mixing liquids X and Y?
OR
Define azeotrope. What type of azeotrope is formed by negative deviation from
Raoult’s law? Give an example.
Cooking is faster in a pressure cooker because increased pressure raises the
boiling point of water.
Decrease in volume indicates negative deviation from Raoult’s law and heat is
evolved (temperature increases).
Azeotropes formed show minimum boiling point; example: chloroform + acetone.
Question 18
Complete and balance the following chemical equations:
(a) 2MnO4− + 10I− + 16H+ →
(b) Cr2O72− + 6Fe2+ + 14H+ →
(a) 2MnO4− + 10I− + 16H+ →
2Mn2+ + 5I2 + 8H2O
(b) Cr2O72− + 6Fe2+ + 14H+ →
2Cr3+ + 6Fe3+ + 7H2O
Question 19
Would you expect benzaldehyde to be more reactive or less reactive in
nucleophilic addition reactions than propanal? Justify your answer.
Benzaldehyde is less reactive than propanal due to resonance stabilization
of the carbonyl group and steric hindrance from the phenyl ring.
Question 20
Identify A and B in the following reaction sequences:
(a) CH3CH2Cl → NaCN → A → H2/Ni → B
(b) C6H5NH2 → NaNO2/HCl (0–5°C) → A →
C6H5NH2 / H+ → B
(a) A = Propionitrile, B = Propylamine
(b) A = Benzene diazonium chloride, B = Aniline
Question 21
Write the reactions involved when D-glucose is treated with:
(a) HCN
(b) Br2 water
(a) D-glucose reacts with HCN to form glucose cyanohydrin.
(b) Br₂ water oxidises aldehyde group to form gluconic acid.
Short answer type Questions
Question 22
A solution of glucose (molar mass = 180 g mol−1) in water has a
boiling point of 100.20 °C. Calculate the freezing point of the same solution.
Given:
Kf (water) = 1.86 K kg mol−1
Kb (water) = 0.512 K kg mol−1
Elevation in boiling point = 0.20 K
Molality = ΔTb / Kb = 0.20 / 0.512 ≈ 0.39 m
Depression in freezing point = Kf × m = 1.86 × 0.39 ≈ 0.73 K
Freezing point of solution ≈ −0.73 °C
Question 23
(a) State the following:
(i) Kohlrausch’s law of independent migration of ions
(ii) Faraday’s first law of electrolysis
(b) Using E° values of X and Y given below, predict which is better for
coating iron to prevent corrosion and why?
E°X2+/X = −2.36 V
E°Y2+/Y = −0.14 V
E°Fe2+/Fe = −0.44 V
(a) Kohlrausch’s law states that limiting molar conductivity is the sum of
individual ionic conductivities.
Faraday’s first law states that mass deposited is proportional to charge passed.
(b) Metal X is better as it has more negative E° value than iron and acts as a
sacrificial anode.
Question 24
A certain reaction is 50% complete in 20 minutes at 300 K and 50% complete
in 5 minutes at 350 K. Calculate the activation energy if it is a first order
reaction.
Given: R = 8.314 J K−1 mol−1
log 4 = 0.602
Using Arrhenius equation:
log(k₂/k₁) = (Ea/2.303R)(1/T₁ − 1/T₂)
Ea ≈ 52.9 kJ mol−1
Question 25
The elements of 3d transition series are:
Sc, Ti, V, Cr, Mn, Fe, Co, Ni, Cu, Zn.
Answer the following:
(a) Why does copper have exceptionally positive E°M2+/M value?
(b) Which element is a strong reducing agent in +2 oxidation state and why?
(c) Why are Zn2+ salts colourless?
(a) Due to high ionisation energy and lattice enthalpy.
(b) Mn²⁺ due to half-filled d-orbital stability.
(c) Zn²⁺ has d¹⁰ configuration; no d–d transitions.
Question 26
(A) Draw the structure of the major monohalo product for each of the following reactions:
(A) Benzylic bromination, Markovnikov addition and benzyl chloride formation occur.
(B) (a) Fittig reaction
(b) Addition of HI in presence of peroxide
(c) Dehydrohalogenation using alcoholic KOH
Question 27
(a) Arrange the following compounds in increasing order of their boiling points:
(CH3)2NH, CH3CH2NH2,
CH3CH2OH
(b) Give plausible explanation for:
(i) Aromatic primary amines cannot be prepared by Gabriel phthalimide synthesis.
(ii) Amides are less basic than amines.
(a) (CH3)2NH < CH3CH2NH2
< CH3CH2OH
(b) (i) Aryl halides do not undergo nucleophilic substitution easily.
(ii) Lone pair on nitrogen in amides is delocalised due to resonance.
Question 28
(a) What is the difference between native protein and denatured protein?
(b) Which one of the following is a disaccharide?
Glucose, Lactose, Amylose, Fructose
(c) Which vitamin is responsible for the coagulation of blood?
(a) Native protein has original structure; denatured protein loses secondary
and tertiary structure.
(b) Lactose
(c) Vitamin K
Case-based Questions
Question 29
The rate of a chemical reaction is expressed either in terms of decrease in
the concentration of reactants or increase in the concentration of a product
per unit time. Rate of reaction depends upon the nature of reactants,
concentration of reactants, temperature, presence of catalyst, surface area
of the reactants and presence of light. Rate of reaction is directly related
to the concentration of reactant. Rate law states that the rate of reaction
depends upon the concentration terms on which the rate of reaction actually
depends, as observed experimentally. The sum of powers of the concentration
of the reactants in the rate law expression is called order of reaction while
the number of reacting species taking part in an elementary reaction which
must collide simultaneously in order to bring about a chemical reaction is
called molecularity of the reaction.
Answer the following questions:
(a) (i) What is a rate determining step?
(ii) Define complex reaction.
(b) What is the effect of temperature on the rate constant of a reaction?
OR
Why is molecularity applicable only for elementary reactions whereas order is
applicable for elementary as well as complex reactions?
(c) The conversion of molecule X to Y follows second order kinetics. If the
concentration of X is increased three times, how will it affect the rate of
formation of Y?
(a) (i) The slowest step of a reaction which determines the overall rate of
reaction is called the rate determining step.
(ii) A reaction occurring in more than one step is called a complex reaction.
(b) Rate constant increases exponentially with increase in temperature
according to Arrhenius equation.
OR
Molecularity refers to number of species involved in an elementary reaction
and has a definite value, whereas order is determined experimentally and can
be fractional or zero.
(c) For second order reaction, rate ∝ [X]².
If concentration is increased 3 times, rate increases by 3² = 9 times.
Question 30
Phenols undergo electrophilic substitution reactions readily due to the strong
activating effect of –OH group attached to the benzene ring. Since, the –OH group
increases the electron density more at o– and p–positions therefore –OH group is
ortho, para-directing. Reimer–Tiemann reaction is one of the examples of aldehyde
group being introduced on the aromatic ring of phenol, ortho to the hydroxyl group.
This is a general method used for the ortho-formylation of phenols.
Answer the following questions:
(a) What happens when phenol reacts with:
(i) Br2/CS2
(ii) Concentrated HNO3
(b) Why does phenol not undergo protonation readily?
(c) Which is a stronger acid – phenol or cresol? Give reason.
OR
Write the IUPAC name of the product formed in the Reimer–Tiemann reaction.
(a) (i) Phenol reacts with Br2/CS2 to form a mixture of
o-bromophenol and p-bromophenol.
(ii) With concentrated HNO3, phenol forms picric acid (2,4,6-trinitrophenol).
(b) Phenol does not undergo protonation readily because the lone pair on oxygen
is involved in resonance with the benzene ring.
(c) Phenol is a stronger acid than cresol because the –CH3 group in cresol
shows +I effect, destabilising the phenoxide ion.
OR
The IUPAC name of the product is 2-hydroxybenzaldehyde.
Long answer type Questions
Question 31
(A) (a) Write the cell reaction and calculate the e.m.f. of the following cell
at 298 K:
Sn(s) | Sn2+ (0.004 M) || H+ (0.02 M) | H2(g, 1 bar) | Pt(s)
Given:
E°Sn2+/Sn = −0.14 V
E°H+/H2 = 0.00 V
(b) Account for the following:
(i) On the basis of E° values, O2 gas should be liberated at anode
but it is Cl2 gas which is liberated in the electrolysis of aqueous NaCl.
(ii) Conductivity of CH3COOH decreases on dilution.
OR
(B) (a) Write the anode and cathode reactions and the overall cell
reaction occurring in a lead storage battery during its use.
(b) Calculate the potential for half-cell containing
0.01 M K2Cr2O7(aq),
0.01 M Cr3+(aq) and
1.0 × 10−4 M H+(aq).
(b) (i)
Although E° value suggests liberation of O2, Cl− ions are
preferentially oxidised due to lower overvoltage of chlorine, hence Cl2
gas is liberated at anode.
(b) (ii)
On dilution, number of ions per unit volume decreases; hence conductivity of
CH3COOH decreases.
31 (B) (b)
Using Nernst equation:
E = E° − (0.0591 / 6)
log
\[
\frac{[Cr^{3+}]^2}{[Cr_2O_7^{2−}][H^+]^{14}}
\]
Substituting values, the electrode potential ≈ 1.15 V.
Question 32
(A) Answer the following :
(a) Low spin tetrahedral complexes are not known.
(b) Co2+ is easily oxidised to Co3+ in the presence of a strong ligand
[At. No. of Co = 27]
(c) What type of isomerism is shown by the complex
[Co(NH3)6][Cr(CN)6] ?
(d) Why a solution of [Ni(H2O)6]2+ is green while a solution of
[Ni(CN)4]2− is colourless.
(At. No. of Ni = 28)
(e) Write the IUPAC name of the following complex :
[Co(NH3)5(CO3)]Cl
OR
(B) (a) What is meant by ‘Chelate effect’? Give an example.
(b) Write the hybridization and magnetic behaviour of
[Fe(CN)6]4−.
(Atomic number : Fe = 26)
(c) If PtCl2 · 2NH3 does not react with AgNO3,
what will be its formula ?
A (a)
In tetrahedral complexes, crystal field splitting is small and pairing of
electrons is not favoured; hence low spin tetrahedral complexes are not known.
(b)
Strong ligands stabilise Co3+ by increasing crystal field splitting,
making oxidation of Co2+ to Co3+ easier.
(c)
The complex shows coordination isomerism.
(d)
[Ni(H2O)6]2+ has unpaired electrons and allows
d–d transitions, giving green colour, whereas
[Ni(CN)4]2− is diamagnetic with paired electrons and hence
colourless.
B (a)
Chelate effect refers to the increased stability of complexes formed with
multidentate ligands compared to those formed with similar monodentate ligands.
Example: [Cu(en)2]2+ is more stable than
[Cu(NH3)4]2+.
(b)
Fe2+ has d6 configuration. CN− is a strong field ligand
causing pairing of electrons.
Hybridization: d2sp3
Magnetic behaviour: Diamagnetic.
(c)
Since it does not react with AgNO3, Cl− ions are coordinated.
Formula: [Pt(NH3)2Cl2]
Question 33
(A) (a) Carry out the following conversions :
(i) Ethanal to But-2-enal
(ii) Propanoic acid to ethane
(b)
An alkene A with molecular formula C5H10 on ozonolysis gives
a mixture of two compounds B and C. Compound B gives positive Fehling test
and also reacts with iodine and NaOH solution. Compound C does not give
Fehling solution test but forms iodoform. Identify the compounds A, B and C.
OR
(B) An organic compound (A) (molecular formula C8H16O2)
was hydrolysed with dilute sulphuric acid to get a carboxylic acid (B) and
an alcohol (C). Oxidation of (C) with chromic acid produced (B).
(C) on dehydration gives But-1-ene. Identify (A), (B) and (C) and write
chemical equations for the reactions involved.
(A) (a)
(i) Ethanal undergoes aldol condensation followed by dehydration to form
But-2-enal.
(ii) Propanoic acid on decarboxylation gives ethane.
(A) (b)
Compound B is ethanal, Compound C is acetone and
Alkene A is 2-methyl-2-butene.
(B) A is an ester: Ethyl butanoate,
B is Butanoic acid and C is Butan-1-ol
Multiple Choice type Questions
Question 1
The charge required for the reduction of 1 mol of MnO4− to MnO2 is
(A) 1 F
(B) 3 F
(C) 5 F
(D) 6 F
Correct Answer: (B) 3 F
Question 2
Which among the following is a false statement ?
(A) Rate of zero order reaction is independent of initial concentration of reactant.
(B) Half-life of a zero order reaction is inversely proportional to the rate constant.
(C) Molecularity of a reaction may be zero.
(D) For a first order reaction, t1/2 = 0.693/k.
Correct Answer: (C) Molecularity of a reaction may be zero.
Question 3
The number of molecules that react with each other in an elementary reaction is a measure of the :
(A) Activation energy of the reaction
(B) Stoichiometry of the reaction
(C) Molecularity of the reaction
(D) Order of the reaction
Correct Answer: (C) Molecularity of the reaction
Question 4
The element having [Ar]3d104s1 electronic configuration is
(A) Cu
(B) Zn
(C) Cr
(D) Mn
Correct Answer: (A) Cu
Question 5
The complex ions [Co(NH3)5(NO2)]2+ and
[Co(NH3)5(ONO)]2+ are called
(A) Ionization isomers
(B) Linkage isomers
(C) Co-ordination isomers
(D) Geometrical isomers
Correct Answer: (B) Linkage isomers
Question 6
The diamagnetic species is :
(A) [Ni(CN)4]2−
(B) [NiCl4]2−
(C) [Fe(CN)6]3−
(D) [CoF6]3−
Correct Answer: (A) [Ni(CN)4]2−
Question 7
Which is the correct IUPAC name for the given compound?
(A) Methylchlorobenzene
(B) Toluene
(C) 1–Chloro–4–Methylbenzene
(D) 1–Methyl–4–Chlorobenzene
Correct Answer: (C) 1–Chloro–4–Methylbenzene
Question 8
What will be formed after oxidation reaction of secondary alcohol with chromic anhydride (CrO3)?
(A) Aldehyde
(B) Ketone
(C) Carboxylic acid
(D) Ester
Correct Answer: (B) Ketone
Question 9
The conversion of phenol to salicylic acid can be accomplished by
(A) Reimer-Tiemann reaction
(B) Friedel-Crafts reaction
(C) Kolbe reaction
(D) Coupling reaction
Correct Answer: (C) Kolbe reaction
Question 10
Which of the following is/are examples of denaturation of protein?
(A) Coagulation of egg white
(B) Curdling of milk
(C) Clotting of blood
(D) Both (A) and (B)
Correct Answer: (D) Both (A) and (B)
Question 11
Nucleotides are joined together by
(A) Glycosidic linkage
(B) Peptide linkage
(C) Hydrogen bonding
(D) Phosphodiester linkage
Correct Answer: (D) Phosphodiester linkage
Question 12
Scurvy is caused due to deficiency of
(A) Vitamin B1
(B) Vitamin B2
(C) Ascorbic acid
(D) Glutamic acid
Correct Answer: (C) Ascorbic acid
Assertion–Reason type Questions
Question 13
Assertion (A): In a first order reaction, if the concentration of the reactant is doubled, its half-life is also doubled.
Reason (R): The half-life of a reaction does not depend upon the initial concentration of the reactant in a first order reaction.
Correct Answer: A is false but R is true.
Question 14
Assertion (A): Cu cannot liberate H2 on reaction with dilute mineral acids.
Reason (R): Cu has positive electrode potential.
Correct Answer: Both A and R are true and R is the correct explanation of A.
Question 15
Assertion (A): Aromatic primary amines cannot be prepared by Gabriel phthalimide synthesis.
Reason (R): Aryl halides do not undergo nucleophilic substitution reaction with the anion formed by phthalimide.
Correct Answer: Both A and R are true and R is the correct explanation of A.
Question 16
Assertion (A): Vitamin D cannot be stored in our body.
Reason (R): Vitamin D is fat soluble vitamin and is not excreted from the body in urine.
Correct Answer: A is false but R is true.
Very short answer type Questions
Question 17
(A) The rate constant for a zero order reaction A → P is
0.0030 mol L−1 s−1. How long will it take for the
initial concentration of A to fall from 0.10 M to 0.075 M?
OR
(B) The decomposition of NH3 on platinum surface is a zero order reaction.
What are the rates of production of N2 and H2
if k = 2.5 × 10−4 mol L−1 s−1?
(A) For zero order reaction:
Rate = k = − d[A]/dt
Integrated rate law:
t = ( [A]0 − [A] ) / k
Given:
[A]0 = 0.10 M
[A] = 0.075 M
k = 0.0030 mol L−1 s−1
t = (0.10 − 0.075) / 0.0030 = 8.33 s
OR
(B) Decomposition reaction:
2NH3 → N2 + 3H2
For zero order reaction:
Rate = k = 2.5 × 10−4 mol L−1 s−1
Rate of formation of N2 = k = 2.5 × 10−4
Rate of formation of H2 = 3k = 7.5 × 10−4 mol L−1 s−1
Question 18
Define the following terms :
(a) Pseudo first order reaction
(b) Half-life period of reaction (t1/2)
(a) Pseudo first order reaction:
A reaction which is actually of higher order but appears to be first order
because concentration of one reactant is taken in large excess.
(b) Half-life (t1/2):
Time required for the concentration of a reactant to become half of its initial value.
Question 19
Examine the following observations :
(a) Transition elements generally form coloured compounds.
(b) Zinc is not regarded as a transition element.
(a) Transition elements form coloured compounds due to
d–d electronic transitions in partially filled d-orbitals.
(b) Zinc has completely filled d-orbitals (d10)
in both atom and Zn2+ ion, hence it is not a transition element.
Question 20
Name the following coordination compounds according to IUPAC norms :
(a) In the following pair of halogen compounds, which compound undergoes
SN1 reaction faster and why?
(b) Arrange the following compounds in increasing order of their
reactivity towards SN2 displacement :
2-Bromo-2-methylbutane, 1-Bromopentane, 2-Bromopentane.
(a) Tertiary alkyl chloride undergoes SN1 reaction faster
due to formation of more stable tertiary carbocation.
At 25 °C the saturated vapour pressure of water is 24 mm Hg.
Find the saturated vapour pressure of a 5% aqueous solution of urea
at the same temperature. (Molar mass of urea = 60 g mol−1)
5% urea solution ⇒ 5 g urea + 95 g water
Moles of urea = 5 / 60 = 0.0833 mol
Moles of water = 95 / 18 = 5.278 mol
Vapour pressure of solution:
P = Xwater × P0
= 0.9844 × 24 = 23.6 mm Hg
Question 23
The electrical resistance of a column of 0.05 M NaOH solution of area
0.8 cm2 and length 40 cm is 5 × 103 ohm.
Calculate resistivity, conductivity and molar conductivity.
Given:
R = 5 × 103 Ω
l = 40 cm
A = 0.8 cm2
Resistivity (ρ):
ρ = R × A / l = (5×103 × 0.8) / 40 = 100 Ω cm
Using valence bond theory, explain the hybridization and magnetic
character of the following:
(a) [Co(NH3)6]3+
(b) [Ni(CO)4]
(a) Co3+ : d6 configuration
NH3 causes pairing of electrons
Hybridization = d2sp3
Geometry = Octahedral
Magnetic nature = Diamagnetic
(b) Ni : d10 configuration
Hybridization = sp3
Geometry = Tetrahedral
Magnetic nature = Diamagnetic
Question 26
Define the following :
(i) Enantiomers
(ii) Racemic mixture
(b) Why is chlorobenzene resistant to nucleophilic substitution reaction?
(a) (i) Enantiomers are non-superimposable mirror image isomers.
(ii) Racemic mixture is an equimolar mixture of two enantiomers
which is optically inactive.
(b) Chlorobenzene shows resonance, giving C–Cl bond partial double bond
character, making it shorter and stronger. Hence it resists nucleophilic substitution.
Question 27
(A) Explain the following reactions and write chemical equation involved :
(a) Wolff–Kishner reduction
(b) Etard reaction
(c) Cannizzaro reaction
OR
(B) Write the structures of A, B and C in the following sequence of reactions :
(a) CH3COOH
—SOCl2→ A
—H2, Pd–BaSO4→ B
—H2N–NH2→ C
(b) CH3CN
—1.(DIBAL-H) 2.H2O→ A
—Dil. NaOH→ B
—Δ→ C
(A)
(a) Wolff–Kishner reduction:
Aldehydes or ketones are reduced to hydrocarbons using hydrazine and strong base.
R–CO–R′ + NH2NH2 + KOH → R–CH2–R′ + N2 + H2O
(b) Etard reaction:
Oxidation of toluene to benzaldehyde using chromyl chloride.
C6H5CH3 → C6H5CHO
(c) Cannizzaro reaction:
Aldehydes without α-hydrogen undergo disproportionation in strong base.
2HCHO + NaOH → HCOONa + CH3OH
(B)
(a)
A = CH3COCl (Acetyl chloride)
B = CH3CHO (Acetaldehyde)
C = CH3CH3 (Ethane)
(b)
A = CH3CHO (Acetaldehyde)
B = CH3COOH (Acetic acid)
C = CH4 (Methane)
Question 28
Define the following terms :
(a) Glycosidic linkage
(b) Invert sugar
(c) Oligosaccharides
(a) Glycosidic linkage:
The ether linkage formed between two monosaccharide units through an oxygen atom.
(b) Invert sugar:
An equimolar mixture of glucose and fructose obtained by hydrolysis of sucrose.
(c) Oligosaccharides:
Carbohydrates which on hydrolysis give 2–10 monosaccharide units.
Case-based Questions
Question 29
The spontaneous flow of the solvent through a semipermeable membrane from a pure solvent to a solution or from a dilute solution to a concentrated solution is called osmosis. The phenomenon of osmosis can be demonstrated by taking two eggs of the same size. In an egg, the membrane below the shell and around the egg material is semipermeable. The outer hard shell can be removed by putting the egg in dilute hydrochloric acid. After removing the hard shell, one egg is placed in distilled water and the other in a saturated salt solution. After some time, the egg placed in distilled water swells up while the egg placed in salt solution shrinks. The external pressure applied to stop the osmosis is termed as osmotic pressure (a colligative property). Reverse osmosis takes place when the applied external pressure becomes larger than the osmotic pressure.
(a) Define reverse osmosis. Name one SPM which can be used in the
process of reverse osmosis.
(b) (i) What do you expect to happen when red blood corpuscles (RBC’s)
are placed in 0.5% NaCl solution?
OR
(b) (ii) Which one of the following will have higher osmotic pressure
in 1 M KCl or 1 M urea solution? Justify your answer.
(c) Why is osmotic pressure a colligative property?
(a)
Reverse osmosis is the process in which solvent flows from a solution
to pure solvent through a semipermeable membrane when pressure greater
than osmotic pressure is applied.
One SPM used: Cellulose acetate membrane
(b)(i)
RBCs placed in 0.5% NaCl solution swell and burst due to endosmosis
as the solution is hypotonic.
OR
(b)(ii)
1 M KCl solution has higher osmotic pressure than 1 M urea solution
because KCl dissociates into ions whereas urea does not.
(c)
Osmotic pressure depends only on the number of solute particles and not
on their nature, hence it is a colligative property.
Question 30
Amines have a lone pair of electrons on nitrogen atom due to which they behave as Lewis bases. Greater the value of Kb or smaller the value of pKb, stronger is the base. Amines are more basic than alcohols, ethers, esters, etc. The basic character of aliphatic amines should increase with the increase of alkyl substitution. But it does not occur in a regular manner as a secondary aliphatic amine is unexpectedly more basic than a tertiary amine in aqueous solutions. Aromatic amines are weaker bases than ammonia and aliphatic amines. Electron releasing groups such as –CH3, –OCH3, –NH2, etc., increase the basicity while electron-withdrawing substituents such as –NO2, –CN, halogens etc., decrease the basicity of amines. The effect of these substituents is more at p- than at m-position.
(a) Arrange the following in the increasing order of their basic character.
Give reason :
Aniline, p-Nitroaniline, p-Methylaniline
(b) Why pKb of aniline is more than that of methylamine?
(c) (i) Arrange the following in the increasing order of their basic character
in an aqueous solution :
(CH3)3N,
(CH3)2NH,
NH3,
CH3NH2
OR
(ii) Why ammonolysis of alkyl halides is not a good method to prepare pure amines ?
(a)
Increasing order of basic strength:
p-Nitroaniline < Aniline < p-Methylaniline
Reason: −NO2 group is electron withdrawing, decreasing basicity,
while −CH3 group is electron releasing, increasing basicity.
(b)
In aniline, the lone pair of nitrogen is involved in resonance with the benzene ring,
making it less available for protonation. Hence aniline is a weaker base than methylamine.
(c) (i)
Increasing order of basic character in aqueous solution:
NH3 < (CH3)3N < CH3NH2 < (CH3)2NH
OR
(ii)
Ammonolysis of alkyl halides gives a mixture of primary, secondary and tertiary
amines along with quaternary ammonium salts, hence pure amines cannot be obtained.
Long answer type Questions
Question 31
(A) (a) Give IUPAC name of CH3–CH=CH–CHO.
(b) Give a simple chemical test to distinguish between propanal and propanone.
(c) How will you convert the following :
(i) Toluene to benzoic acid
(ii) Ethanol to propan-2-ol
(iii) Propanal to 2-hydroxy propanoic acid
OR
(B) Complete each synthesis by giving missing starting material, reagent or product :
(A)(a)
IUPAC name: But-2-enal
(A)(b)
Tollens’ test: Propanal gives silver mirror, propanone does not.
(A)(c)
(i) Toluene → Benzoic acid: Oxidation with alkaline KMnO4
(ii) Ethanol → Propan-2-ol: Oxidation to ethanal, followed by Grignard reaction and hydrolysis
(iii) Propanal → 2-hydroxy propanoic acid: Addition of HCN followed by hydrolysis
(A) (a) Calculate the standard Gibbs energy (ΔG°) of the following reaction at 25 °C :
Au(s) + Ca2+(1M) → Au3+(1M) + Ca(s)
Given:
E°Au3+/Au = +1.5 V
E°Ca2+/Ca = −2.87 V
(b) Tarnished silver contains Ag2S. Can this tarnish be removed by
placing tarnished silverware in an aluminium pan containing NaCl solution?
OR
(B) (a) Define the following :
(i) Cell potential
(ii) Fuel cell
(b) Calculate emf of the following cell at 25 °C :
Zn(s) | Zn2+ (0.1 M) || Cd2+ (0.01 M) | Cd(s)
Given:
E°Cd2+/Cd = −0.40 V
E°Zn2+/Zn = −0.76 V
[log 10 = 1]
(A)
An organic compound ‘A’, molecular formula C2H6O oxidises with
CrO3 to form a compound ‘B’. Compound ‘B’ on warming with iodine and
aqueous NaOH gives a yellow precipitate of compound ‘C’. When compound ‘A’ is
heated with conc. H2SO4 at 413 K gives a compound ‘D’, which on
reaction with excess HI gives compound ‘E’. Identify compounds ‘A’, ‘B’, ‘C’, ‘D’
and ‘E’ and write chemical equations involved.
OR
(B)
(a) Write chemical equations of the following reactions:
(i) Phenol is treated with conc. HNO3
(ii) Propene is treated with B2H6 followed by oxidation by
H2O2/OH−
(iii) Sodium t-butoxide is treated with CH3Cl.
(b) Give a simple chemical test to distinguish between butan-1-ol and butan-2-ol.
(c) Arrange the following in increasing order of acid strength : phenol,
ethanol, water
(A)
A = Ethanol (C2H5OH),
B = Ethanal (CH3CHO),
C = Iodoform (CHI3),
D = Ethene (C2H4),
E = Ethyl iodide (C2H5I)